当前位置:首页>>资讯中心>>行业动态 » 直流电源系统单相桥式整流器滤波电路工作过程(直流电源滤波器)
单相桥式整流器滤波电路是直流电源系统中常见的经典电路。本文重点分析电容滤波电路的工作过程。

图1电容充放电电路
在打开本文的内容之前,让我们看一下经典的电容测试。
电容充放电测试
在图1的电路中,直流电压源V1 = 12V,电阻R2 =1kΩ,开关S1,电容C1 =1μF,电阻R1 =1kΩ,
开关S1可以左右切换电路。

图2电容图。
毫无疑问,当S1闭合左侧的电路时,电压源V1对C1充电,直到C1两端的电压达到某个值,然后停止充电。
电容两端的电压+电阻两端的电压R2=电源V1电压12V。
在仿真电路中,您可以看到以下内容:

图3充电期间电容两端的电压变化曲线
图3中的红色曲线是电容两端的电压变化,水平轴是时间轴,垂直轴是电压值。
电容器的充电曲线以指数形式上升,并在约3ms后达到约3.87V的最大值。

图3电容放电过程图
如果此时将开关向右转,则电容器会将其所有“本体”电荷导向电阻器R1。如图3所示,这种流动过程称为放电。
执行定量分析。
“在分析过程中,使用了基尔霍夫定律和齐次微分方程的解。这些是在电路和高级数学中引入的。”

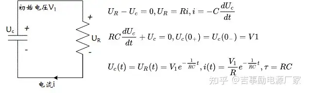
图4 RC零输入响应
推导的过程可以忽略,重要的是结论。参见图4。
电阻两端的电压UR(t)和iR(t)随时间呈指数变化。同时,由于指数函数的性质,当时间为0时,该函数取最大值V1和V1 / R。
当时间达到无穷远时,电压和电流值变为零。
令τ= RC
指数函数的变化率与τ有关。τ的值越大,函数的变化越平滑,放电速度越慢。τ的值越小,功能变化越快,放电速度越快。

图5各种τ的指数曲线
从图5中,您可以看到指数函数和τ值之间的关系。
当τ= 1ms时,它是图5中的绿色曲线。
当τ= 2ms时,它是图5中的红色曲线。
当τ= 10ms时,它是图5中的黑色曲线。
通常,当时间为3到5τ时,电压和电流值基本上为0,这时放电被视为完成。
您可以使用示波器查看实际波形。

图6电容器放电曲线
波形呈指数下降。您可以看到电压在419ms处开始下降,并在423ms处趋于稳定。
总结:
电容器两端的电压不能突然变化。这样可以稳定并联电路的电压。
如果您的电压不如我的电容器高,我会给您充电,直到与我的电容器相同为止。
如果你的电压高于我的电压,那就给我充电,直到我的电压与你的电压相同。
流经电容器的电流与电容器两端的电压变化率成比例(Ic = CdUc / dt)。
电压变化越快,电流越大。
济南能华机电设备有限公司是一家专业从事直流稳压电源、逆变电源、脉冲电源、高压电源、电力通信电源、开关电源、远供电源、充电机、程控变频电源、程控直流电源、大电流恒流源、码头岸电电源、军工电源、电力测试电源测试系统的研发、生产、销售于一体的高新科技专业化公司,产品广泛应用于家用电器、电机测试、码头船厂、航天航空、电力测试、进口设备、新能源等多种应用领域。 济南能华机电设备有限公司严格执行ISO9001:2001质量管理体系和GJB9001A-2001军工产品质量体系相关标准,始终坚持“以客户需求为导向,以产品质量为依托”,为客户提供快捷的行业解决方案,得到了各行业众多客户的高度赞扬。济南能华机电设备有限公司坚持“科技创新”为持续发展动力,依托“···