欢迎浏览济南能华机电设备有限公司网站,公司是一家电源设备厂家,品质保障,欢迎咨询!

返回列表页

【论文推荐】东南大学等 蒋贤强,徐青山,柳 丹,等:含分布式电源的交直流配网双层规划研究(分布式直流电源)

更多精彩,请点击上方蓝字关注我们!

原文发表在《电力工程技术》2018年第37卷第4期,欢迎品读!

本文引文信息

蒋贤强,徐青山,柳 丹,等.含分布式电源的交直流配网双层规划研究[J]. 电力工程技术,2018, 37(4):27-32.

JIANG Xianqiang,XU Qingshan,LIU Dan,et al.Planning Research of AC/DC Distribution Network containing DGs Using Two-layer Model[J].Electric Power Engineering Technology,2018, 37(4):27-32.

含分布式电源的交直流配网双层规划研究

蒋贤强,徐青山,柳  丹,

东南大学电气工程学院等

1.引言

随着负荷的日益增加,传统配网很难满足其需求,尤其是在负荷密集的商业区,限于土地的原因, 现有网架难以扩充,因此,提高配电网的供电能力显得尤为重要。研究表明,相同网络下,直流配网的供电容量是交流的1.5倍,且随着分布式电源的大力发展,需要考虑合理的消纳方法,由于分布式电源的输出多数为直流,或者高频交流,因此,直流配网是其理想的消纳场所。但交流配网转直流配网是一项浩大的工程,因此其中间状态,即交直流配网值得深入研究。

为解决上述问题,借鉴以往交流规划方法,文中提出一种交直流网络的开荒式规划方法,在考虑负荷和分布式电源随机性的基础上,建立一个以运行成本和建设成本为目标函数的双层规划模型,为增加规划的精确性,其运行成本考虑经济调度的影响。模型的求解采用一种新型网络编码方式。最后仿真对比验证交流网络和交直流网络规划的结果,得出所提规划方法的准确性。

2.交直流配网网架结构2.1 母线结构

交直流系统包含交流母线和直流母线。针对交流母线,交流分布式电源可直接或通过交流变压器接入,直流分布式电源则需通过DC/AC逆变器接入,交流负荷由交流母线直接供电,直流负荷则需通过AC/DC整流器接入交流母线;针对直流母线,直流分布式电源可直接或通过直流变压器接入,交流分布式电源则需通过AC/DC整流器接入母线,直流负荷由母线直接供电,交流负荷则需通过DC/AC逆变器接入母线。交、直流母线结构如图1、图2所示,其中DG为分布式电源。

图1 交流母线结构

图2 直流母线结构

2.2 支路类型

考虑到相同电压等级、相同距离直流传输的损耗比交流传输小,交直流配网中的支路类型尽量以直流传输为主。鉴于此,支路类型可分为以下4种:(1)交流母线—交流支路—交流母线;(2)交流母线—直流支路—交流母线;(3)交流母线—直流线 路—直流母线;(4)直流母线—直流线路—直流母线,对应的拓扑结构如图3所示。

图3 支路类型

3.交直流配网元件模型3.1 VSC换流站模型

基于全控型电力电子器件的电压源型换流器(voltage source converter,VSC)具有调节速度快,有功无功独立调节,双向潮流等优点,使直流配电成为可能。忽略其无功损耗,VSC可以等效为理想换流器、虚拟节点和有功损耗电阻的组合,等效模型电路图如图4所示。

图4 VSC等效电路

3.2 分布式电源及负荷模型

负荷和分布式电源的模型已有相当数量的研究,文中认为负荷服从正态分布,其概率密度函数如式(7)所示;认为光伏服从Beta分布,其概率密度函数如式(8)所示;认为风速服从威布尔分布,其概率密度函数如式(9)所示。根据负荷与分布式能源的概率密度函数,通过蒙特卡洛抽样的方式得出它们的功率。

4.交直流配网双层规划模型

与传统交流配网不同,交直流配网中含有高渗透率分布式电源,文中通过蒙特卡洛技术模拟不同时期分布式电源的影响。配网的规划需要考虑长期的经济效益,为精确表达长期的经济效益, 需要考虑实时运行带来的成本,因此,文中提出一 种双层规划模型,第一层规划考虑系统长期经济成本,第二层规划考虑实时调度运行成本。

4.1 第一层规划模型

(1)目标函数。以建设成本和运行成本为目标函数,前者包括传统发电机、分布式电源、线路和VSC安装成本,后者包括传统发电机、分布式电源的运行成本。

(2)约束条件。在配网网络构建的过程中,由于母线传输功率的上限,出于安全考虑,单个母线不允许与过多其他母线相连,而且还要求母线不能被孤立,因此,母线间的支路数存在上下限。

4.2 第二层规划模型

第二层模型的提出,是在第一层模型给出待计算成本的网络后,针对该网络进行实时调度的模拟。在利用多场景技术确定系统分布式电源和负荷的大小后,系统中传统电源根据经济调度的指令而发电,要确定其运行成本,必须模拟经济调度场景,确定其出力。 

经济调度采用最优潮流的方法,以最小化系统运行成本为目标函数,系统安全为不等式约束,系统潮流为等式约束。

(1)目标函数。目标函数为电源运行成本,包括传统发电机和分布式电源,计算规则为电源出力与单位出力的运行成本系数的积。

(2)不等式约束条件。

   ① 发电机安全约束:

 ② 母线及支路安全约束:

 ③ VSC约束:

(3)等式约束条件。

5.计算方法及流程5.1 编码方式

文中以传统网络编码方式为基础,针对交直流配网与传统配网网架的不同,包括母线类型、支路类型等,提出一 种交直流网架的二进制编码方式,如图5所示。

图5 网络拓扑二进制编码结构

(1)以母线是否为直流节点确定W(n)是否为1;(2)以母线之间是否相连确定U(n,m)是否为1;(3)以线路是否为直流线路确定D(n,m)是否为1。

5.2 计算流程

鉴于遗传算法是求解优化问题的基础而高效的算法,文中通过对电力网络的二进制编码, 嵌套遗传算法进行求解。 

(1)对待规划交直流配电网络生成一组二进制编码,作为初始种群; 

(2)对每一个种群中的个体,建立第一层规划模型,其中的运行成本通过二层规划模型确定; 

(3)建立第二层规划模型; 

(4)利用遗传算法得出第二层规划模型的经济调度结果; 

(5)将(4)的结果代入第一层规划模型,计算其目标函数,重复(2)~(5),计算每个个体适应值; 

(6)若达到收敛精度或迭代次数,结束计算,反之,种群选择、交叉、变异后返回第(2)步。其中,遗传算法的选择、交叉和变异操作如下: 

选择:采用轮盘赌的方式,即计算每个个体的适应值,适应度函数选择目标函数的倒数,以个体适应值占总适应值的比值作为个体被选中的概率。 

交叉:采用单点交叉的形式,将2个个体的部分结构进行交换,形成新的个体。 

变异:对种群中的所有个体以事先设定的变异概率判断是否进行变异,然后对进行变异的个体随机选择变异位变异。

6.算例分析

文中采取图6所示的13节点待规划网络作为算例,电压等级为10 kV,节点1为平衡节点,其余节点上接有交、直流负荷和分布式电源,详细数据见表1。

图6 待规划网络

表1 13节点待规划网络数据参数

(1)交流规划结果。将二进制变量W和D设为0,则规划结果为纯交流,拓扑如图7所示。可以看出,网络满足约束要求,呈辐射状,且无节点孤立。

(2)交直流规划结果,如图8所示。其中,实线线路为交流支路,虚线为直流支路,实线母线为交流母线,虚线母线为直流母线。

图7 交流规划结果

图8 交直流规划结果

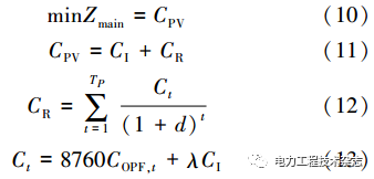
在规划成本计算中,假设交直流配网的运行寿命为20 a,且各节点的电源已经安装好,不计入规划成本中。通过负荷与分布式电源的模型,模拟一年四个季度典型日的数据,从而得出每一年负荷与分布式电源的出力,进而根据式(12)求出20 a系统的运行成本。交直流系统成本对比如表2所示。

表2 交直流系统成本对比

表2中列出了部分规划费用,包括20 a总运行成本、线路建设费用和VSC换流器安装费用等,根据全部成本计算其净现值。对比分析交流网络费用和交直流网络费用得出如下结论:

(1)交直流网络运行成本低。

(2)交直流系统线路建设费用低于交流系统。

(3)交直流系统VSC换流器费用低于交流系统。

(4)交直流网络总成本低于交流网络,随着总负荷的增大,交流网络线路传输功率的劣势日益显现,并且随着分布式电源的增多,交直流网络对比传统交流网络的经济优势将越来越大。

7.结语

针对目前交直流配网规划方面研究的欠缺,提出一种考虑负荷和分布式电源随机性的基于双层规划模型的规划方法。其中,第一层模型以系统建设成本和运行成本为目标函数,针对其中的运行成本,为提高计算精度建立第二层经济调度模型,即考虑网络的实时运行状态,得出全年的运行成本。 

双层模型的求解方法采用一种新型二进制编码嵌套遗传算法求解。文中针对母线间是否连接, 母线是否为直流母线和支路是否为直流线路提出 一种新型网络编码方式,能够涵盖所有的网络拓扑,母线类型和支路类型。 

算例采用一个待规划的13节点配网,运用所提的模型和方法,对该算例进行纯交流和交直流的规划计算。规划结果表明,在相同的负荷与分布式电源的大小和分布前提下,交直流配网在运行成本、 线路建设费用、VSC换流器安装费用和电源安装成本等方面都比传统交流配网经济。

主要作者及团队介绍

蒋贤强:硕士研究生,研究方向为交直流配网规划与运行;

徐青山:博士,教授,研究方向为分布式能源、需求响应、交直流配网;

柳    丹:硕士,工程师,从事微网运行与分析工作。

郑重声明:根据国家版权局相关规定,纸媒、网站、微博、微信公众号转载、摘编本微信作品,需包含本微信名称、二维码等关键信息,并在文首注明《电力工程技术》原创。个人请按本微信原文转发、分享。

《电力工程技术》期刊

微信号:epet-1982

关于我们

济南能华机电设备有限公司

    济南能华机电设备有限公司是一家专业从事直流稳压电源、逆变电源、脉冲电源、高压电源、电力通信电源、开关电源、远供电源、充电机、程控变频电源、程控直流电源、大电流恒流源、码头岸电电源、军工电源、电力测试电源测试系统的研发、生产、销售于一体的高新科技专业化公司,产品广泛应用于家用电器、电机测试、码头船厂、航天航空、电力测试、进口设备、新能源等多种应用领域。   济南能华机电设备有限公司严格执行ISO9001:2001质量管理体系和GJB9001A-2001军工产品质量体系相关标准,始终坚持“以客户需求为导向,以产品质量为依托”,为客户提供快捷的行业解决方案,得到了各行业众多客户的高度赞扬。济南能华机电设备有限公司坚持“科技创新”为持续发展动力,依托“···

在线咨询在线咨询
咨询热线 0531-68684888


返回顶部